Gemiddeld 11% van het corporatiebezit heeft een E, F, of G-label
In de Nationale prestatieafspraken is afgesproken dat de corporatiesector uiterlijk in 2028 alle E, F en G-labels uit de sector zijn verdwenen[1]. Samen met beschikbaarheid en betaalbaarheid is de verduurzaming van het bezit een belangrijk onderdeel van de Nationale prestatieafspraken. In dit artikel zetten we de (regionale) verdeling van de opgave uiteen en kijken we waarom de verduurzaming een belangrijk onderwerp is bij investeringsbeslissingen.
“Deze gezamenlijke agenda is nodig in het licht van de grote maatschappelijke opgaven rond de beschikbaarheid van voldoende betaalbare woningen, de verduurzaming van de gebouwde omgeving, de leefbaarheid van wijken en buurten en de betaalbaarheid van wonen.”
Tip: tijdens de training Investeringsafweging woningcorporaties gaan we aan de slag met het ORT-budget, onrendabel investeren en uw investeringsplannen.
Waar staat de sector nu?
In de praktijk merken wij dat corporaties nog onvoldoende in beeld hebben hoeveel labelstappen zij moeten zetten om de slechte energielabels uiterlijk in 2028 uit te faseren. Ongeveer 11% van het corporatiebezit heeft een E, F, of G-label (dPi 2021). Tussen corporaties en regio’s bestaan echter grote verschillen.
Figuur 1: Verdeling energielabel (dPi 2021)

Grote regionale verschillen in opgave EFG-labels
Woningcorporaties beheren gezamenlijk 2,2 miljoen zelfstandige woonruimten. Bijna 80% van het totale bezit heeft een energielabel C of beter. In vergelijking met andere verhuurders hebben corporaties minder slechte labels. Om alle E, F en G-labels uit de sector te laten verdwijnen, moet in 11% van het bezit nog een duurzaamheidsingreep plaatsvinden (ca. 250.000 zelfstandige woonruimtes). In de Nationale prestatieafspraken is een uitzondering opgenomen, waardoor de verplichting om uiterlijk in 2028 geen E, F, en G-labels meer te hebben niet geldt voor:
- gemeentelijke, provinciale en Rijksmonumenten (landelijk ongeveer 15.000 eenheden; 0,6% totale bezit);
- voor sloop aangemerkte woningen;
- VvE’s waar geen instemming van 70% van de huurders is verkregen.
Het aantal te zetten labelstappen hangt in grote mate samen met het bouwjaar van het bezit. Landelijk gezien is 47% van het bezit gebouwd na 1980[2]. De provincie Flevoland heeft het jongste bezit (77% van de woningen is gebouwd na 1980). De benodigde aantal labelstappen in Flevoland ligt hierdoor erg laag (1% van het totale bezit). In Groningen en Friesland moeten juist relatief veel meer woningen labelstappen zetten, zij hebben respectievelijk een 16% en 15% aandeel van E, F en G-labels in de portefeuille.
In de Nationale prestatieafspraken is gerekend met kosten voor het uitfaseren van E, F en G-labels van € 10.490 per woning (prijspeil 1-1-2022). Het kost daarmee € 287 per woning per jaar om in Groningen in zes jaar geen E, F en G-labels meer in de portefeuille te hebben. In de provincie Flevoland is dit € 20 per woning per jaar.
In absolute zin moeten de meeste labelstappen gezet worden in de provincies Noord – en Zuid-Holland. Van het totale bezit ligt 45% in deze twee provincies. In onderstaande grafiek is dit te zien aan de blauwe balk, die het aandeel ten opzichte van het totale corporatiebezit laat zien.
Figuur 2: Te verduurzamen opgave en bezit ten opzichte van het totaal bezit per provincie

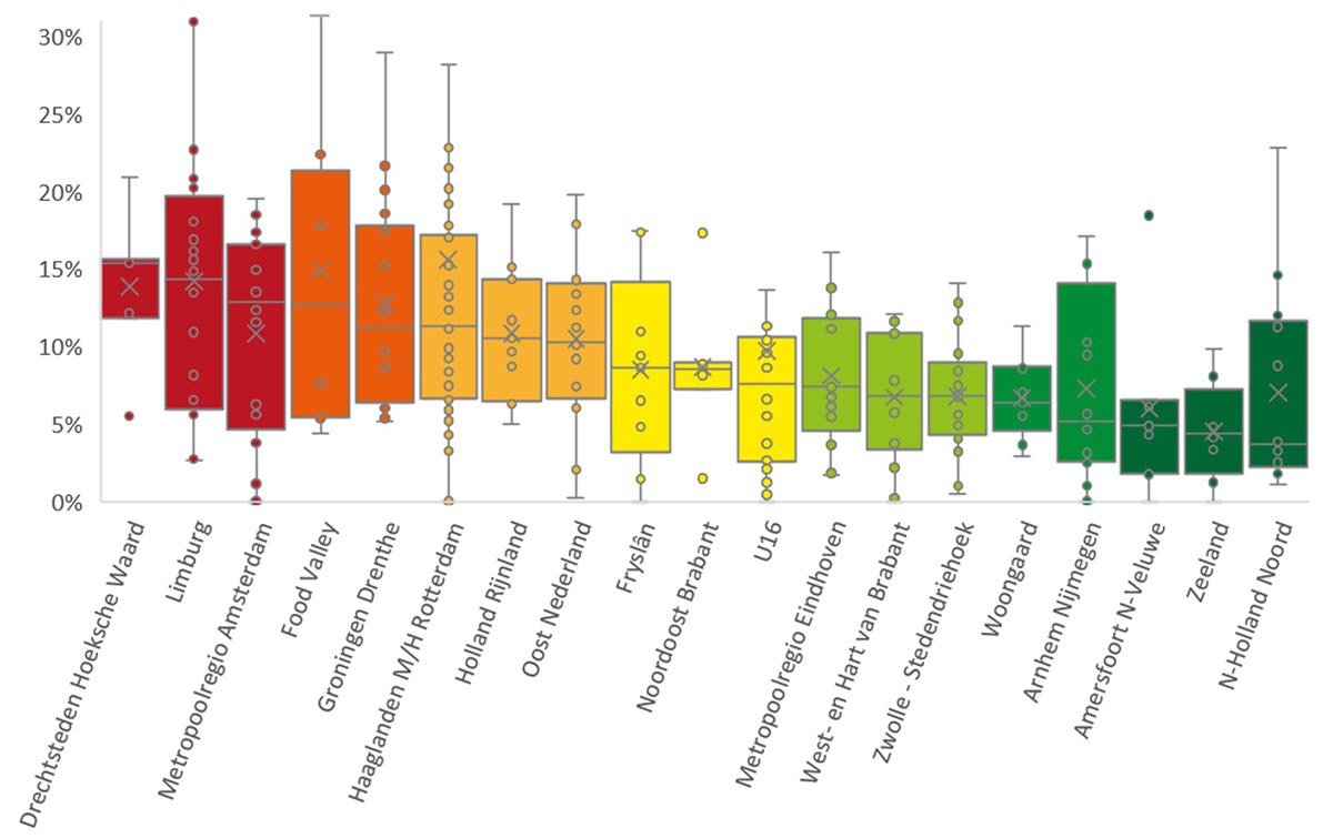
Ook binnen woningmarktregio’s grote spreiding E, F en G-labels
De opgave om E, F en G-labels uit te faseren kent dus grote regionale verschillen. Dat kan een aanleiding zijn om na te denken over samenwerking over de regio’s heen. Praktischer is wellicht om eerst te kijken naar samenwerking binnen de regio, want hoe is de opgave binnen de regio verdeeld? Ook binnen woningmarktregio’s is sprake van grote spreiding. Onderstaande boxplot laat de spreiding per woningmarktregio zien. In de basis (de balk) van de boxplot valt 50% van de corporaties die actief zijn in een regio. Een brede basis (grote balk) duidt dus op een grote spreiding binnen een woningmarktregio. Food Valley (17% verschil), Limburg (13% verschil) en Arnhem/Nijmegen (9% verschil) zijn de woningmarktregio’s met de grootste spreiding. De uitschieters zijn corporaties die buiten de balk vallen. Dit zijn veelal kleine corporaties met een geconcentreerd bezit.
Figuur 3. Spreiding te verduurzamen bezit binnen woningmarktregio’s

Goede investeringsafweging geeft inzicht
Verduurzaming van het bezit is, door de gestegen energielasten, nu meer dan ooit noodzakelijk om de energiearmoede en stijgende woonlasten van huurders aan te pakken. Onderdeel van de Nationale prestatieafspraken is dat corporaties vanaf 1 januari 2023 geen huurverhoging meer mogen vragen voor het nemen van isolatiemaatregelen. De financiële businesscase van duurzaamheid was al lastig, maar dit wordt hierdoor nog moeilijker. Een goede investeringsafweging begint bij het beschikken over een gedegen financieel afwegingskader. Daarnaast is het van belang een zuivere doorrekening te maken, hiervoor is het ook van belang om over de juiste gegevens te beschikken.
Praktische tip voor de financiële businesscase van duurzaamheid
Een investeringsafweging begint met het in kaart brengen van de opgave op portefeuilleniveau. Welke stappen u kunt zetten, kunt u bepalen aan de hand van de VHE-tabel, aangevuld met een label voor monumentale status, woningen aangemerkt voor sloop en zijnde onderdeel van een VVE. De financiële opgave, en daarmee de haalbaarheid op de lange termijn, wordt berekend aan de hand van normbedragen. Daarna is het belangrijk een financieel afwegingskader voor individuele investeringen op te stellen.
Meer weten over het rekenen aan duurzaamheidsingrepen?
Heeft u naar aanleiding van dit artikel vragen over de financiële vertaling van de Nationale prestatieafspraken naar de opgave voor uw eigen corporatie? Neem vrijblijvend contact op met Jeroen Dungelmann of Niels Kornegoor.
Wilt u zelf aan de slag? Tijdens de training Investeringsafweging woningcorporaties gaat u aan de slag met het ORT-budget, onrendabel investeren en uw investeringsplannen. U plaatst uw investeringen in het bredere perspectief en leert meer over het opstellen van verantwoorde investeringskaders met een gezonde ruimte voor innovatie en vernieuwing. Bekijk het programma en de data.
[1] Bron: Nationale prestatieafspraken 2022
[2] Bron: Aedes datacentrum



